通通好学
优秀教学资源分享平台
首页
教育资讯
试卷下载
深圳高中
深圳中考地图
登录
登录系统
最近访问
首页
免费试卷
DSE
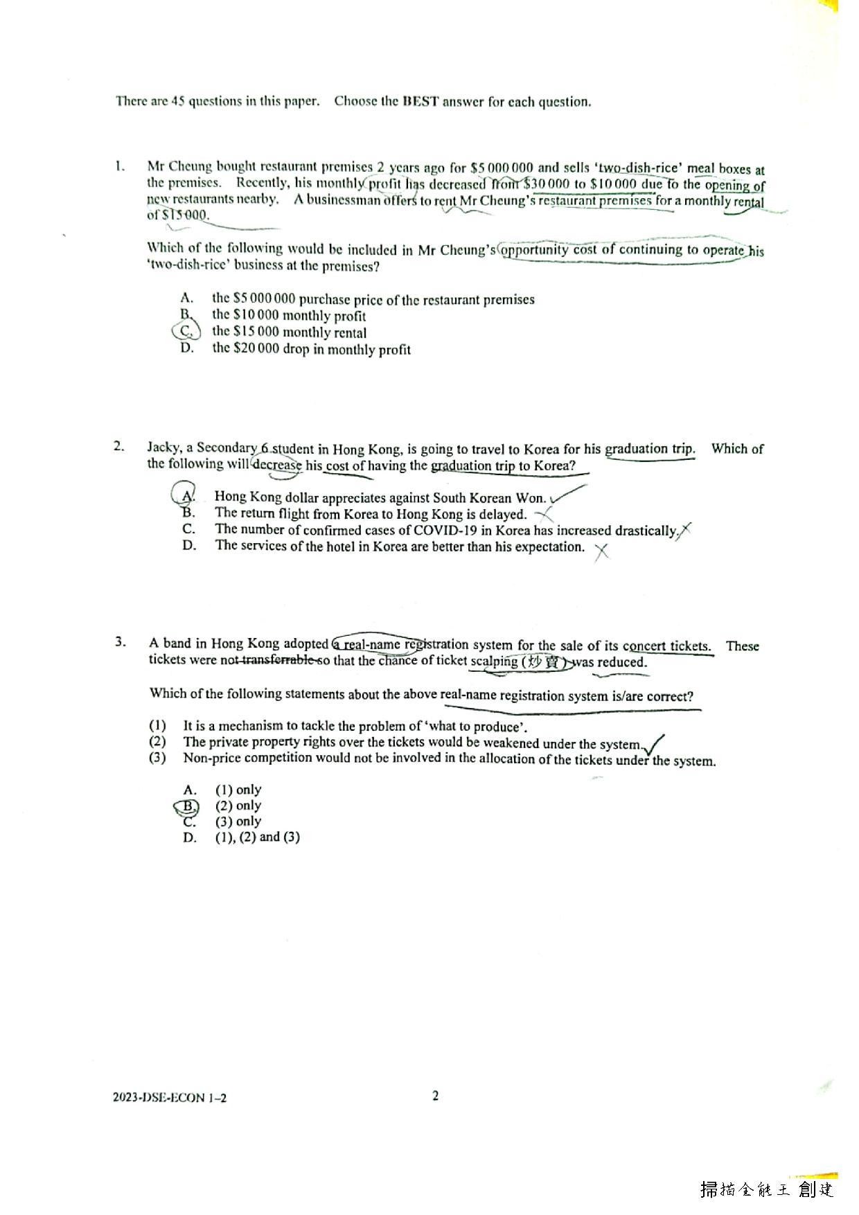
经济 DSE(英) 2023
经济 DSE(英) 2023
年级:
DSE
教材版本:
香港会考
打印试卷 (共2个文件)
文件列表(共 2 个文件)
Paper 1.pdf
(3.11MB)
打印
下载
Paper 2.pdf
(5.47MB)
打印
下载
预览
相关试卷
更多
资讯与通讯科技 DSE(英) 2023
企业、会计与财务概论 DSE(中) Practice Paper
企业、会计与财务概论 DSE(中) Sample Paper
企业、会计与财务概论 DSE(中) 2012
企业、会计与财务概论 DSE(中) 2013
企业、会计与财务概论 DSE(中) 2014
企业、会计与财务概论 DSE(中) 2015
企业、会计与财务概论 DSE(中) 2016
企业、会计与财务概论 DSE(中) 2017
企业、会计与财务概论 DSE(中) 2018
最新上传
更多
2022考研数学(二)真题及答案解析
2018翻译硕士各校211翻译硕士英语作文题目汇总
2022考研数学(三)真题及答案解析
2024年考研政治真题及答案
2024年教育学真题及答案
2022年311教育学专业基础综合试题(部分试题)
2010全国硕士研究生入学统一考试(英语二)试题
2022考研数学一真题试题
2024年199管理综合真题及答案解析
2010年全国硕士研究生入学统一考试数学二试题