通通好学
优秀教学资源分享平台
首页
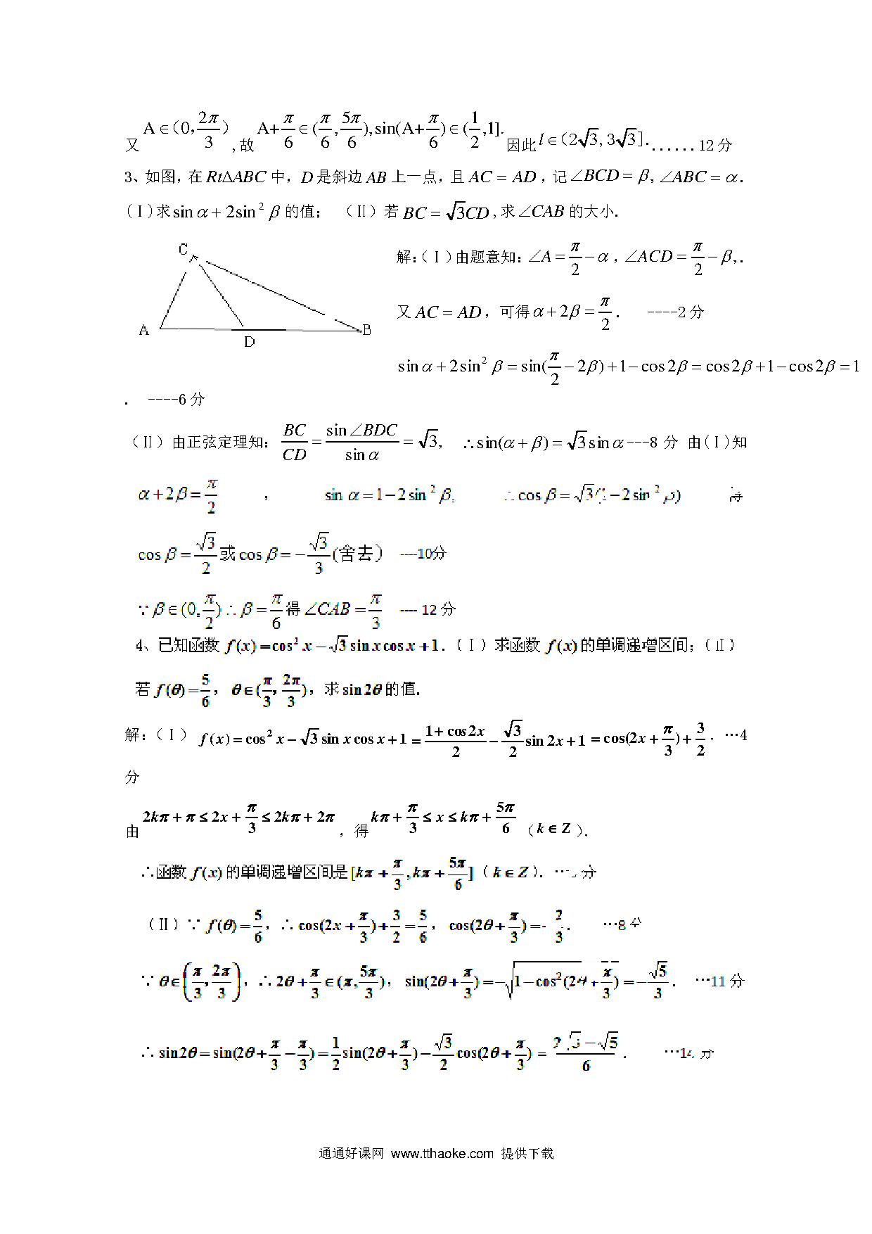
教育资讯
试卷下载
深圳高中
深圳中考地图
登录
登录系统
最近访问
首页
免费试卷
高考试卷
数学
2012高考数学冲刺易错点 三角函数
2012高考数学冲刺易错点 三角函数
学科:
数学
年级:
高考试卷
教材版本:
人教版
上传:
2012年08月19日
下载试卷
(1.76MB)
打印试卷 (共2个文件)
文件列表(共 2 个文件)
2012高考数学备考冲刺之易错点点睛系列专题三角函数(学生版).pdf
(970.1KB)
打印
下载
2012高考数学备考冲刺之易错点点睛系列专题三角函数(教师版).pdf
(1.22MB)
打印
下载
预览
显示剩余 28 张页面
相关试卷
更多
2024年普通高等学校招生全国统一考试(北京卷)数学
2024天津高考数学试题及答案
2024上海高考数学试题及答案
2024高考新课标Ⅰ卷数学试题及答案
2023年新课标全国Ⅰ卷数学真题(解析版)
2023年高考全国乙卷数学(理)真题(解析版)
2023年新课标全国Ⅱ卷数学真题(解析版)
2023年高考全国乙卷数学(理)真题(原卷版)
2023年高考全国乙卷数学(文)真题(解析版)
2023年新高考天津数学高考真题(解析版)
最新上传
更多
2022考研数学(二)真题及答案解析
2018翻译硕士各校211翻译硕士英语作文题目汇总
2022考研数学(三)真题及答案解析
2024年考研政治真题及答案
2024年教育学真题及答案
2022年311教育学专业基础综合试题(部分试题)
2010全国硕士研究生入学统一考试(英语二)试题
2022考研数学一真题试题
2024年199管理综合真题及答案解析
2010年全国硕士研究生入学统一考试数学二试题