通通好学
优秀教学资源分享平台
首页
教育资讯
试卷下载
深圳高中
深圳中考地图
登录
登录系统
最近访问
首页
免费试卷
高二
数学
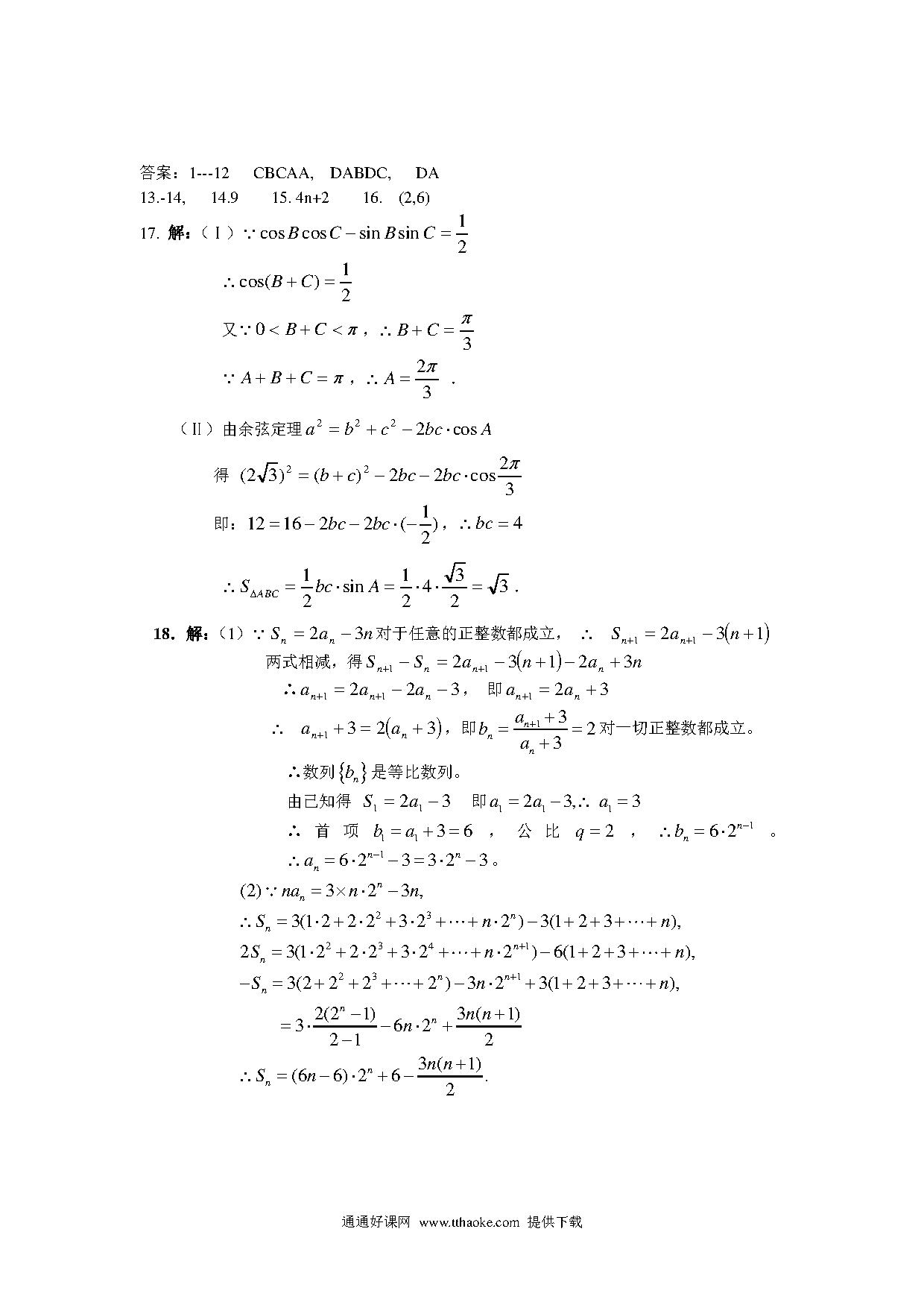
高中数学必修5综合测试题及答案
高中数学必修5综合测试题及答案
学科:
数学
年级:
高二
教材版本:
人教版
上传:
2011年12月31日
下载试卷
(212.92KB)
打印试卷 (共1个文件)
文件列表(共 1 个文件)
高中数学必修5综合测试题及答案.pdf
(277.82KB)
打印
下载
预览
相关试卷
更多
桓台二中2016-2017年高二12月月考数学试卷及答案
哈六中2016-2017学年高二上学期数学(理)期末试题及答案
吉林实验中学2016-2017学年高二上期中数学(理)试题及答案
东辽一中2016-2017学年高二上学期数学(文)期末考试题及答案
哈六中2016-2017学年高二上学期数学(文)期末试题及答案
东辽一中2016-2017学年高二上学期数学(理)期末考试题及答案
定州二中2016年高二第一次月考数学(文)试卷及答案
定州二中2016年高二第一次月考数学(理)试卷及答案
大庆中学2016-2017学年高二上学期数学期中试题
大庆铁人中学2016-2017年高二数学(文)期中试卷
最新上传
更多
2022考研数学(二)真题及答案解析
2018翻译硕士各校211翻译硕士英语作文题目汇总
2022考研数学(三)真题及答案解析
2024年考研政治真题及答案
2024年教育学真题及答案
2022年311教育学专业基础综合试题(部分试题)
2010全国硕士研究生入学统一考试(英语二)试题
2022考研数学一真题试题
2024年199管理综合真题及答案解析
2010年全国硕士研究生入学统一考试数学二试题