通通好学
优秀教学资源分享平台
首页
教育资讯
试卷下载
深圳高中
深圳中考地图
登录
登录系统
最近访问
首页
免费试卷
高一
数学
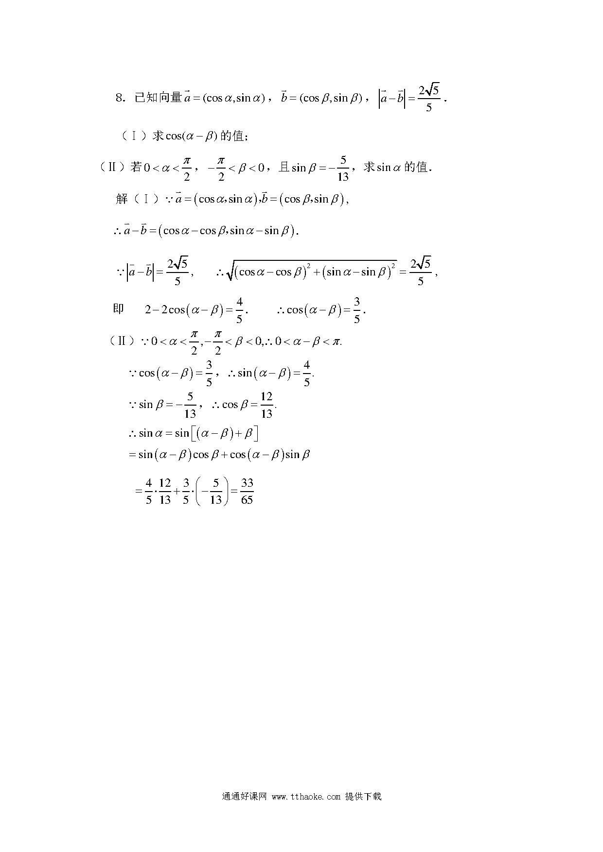
第2章平面向量测试1(苏教版必修4)
第2章平面向量测试1(苏教版必修4)
学科:
数学
年级:
高一
教材版本:
苏教版
上传:
2011年12月23日
下载试卷
(382.04KB)
打印试卷 (共1个文件)
文件列表(共 1 个文件)
第2章平面向量测试1(苏教版必修4).pdf
(551.11KB)
打印
下载
预览
显示剩余 6 张页面
相关试卷
更多
福州八县市一中2015年第二学期高一数学期末试题及答案
2015年人教A版必修一模块综合检测题及答案解析3套
2015人教版高中数学必修四第二章 平面向量作业题及答案解析14套
2015人教版高中数学必修四同步模块综合检测题及答案解析3套
2015年人教版高中数学必修二第一章空间几何体作业题及答案解析9
2015人教版高中数学必修四第一章三角函数作业题及答案解析17套
2015年人教版高中数学必修三同步模块综合检测及答案解析3套
2015人教版高中数学必修四第三章 三角恒等变换作业题及答案解析8
兰州一中2014-2015年第2学期高一数学期末试卷及答案
北京市西城区2014-2015学年高一下学期数学期末试卷及答案
最新上传
更多
2022考研数学(二)真题及答案解析
2018翻译硕士各校211翻译硕士英语作文题目汇总
2022考研数学(三)真题及答案解析
2024年考研政治真题及答案
2024年教育学真题及答案
2022年311教育学专业基础综合试题(部分试题)
2010全国硕士研究生入学统一考试(英语二)试题
2022考研数学一真题试题
2024年199管理综合真题及答案解析
2010年全国硕士研究生入学统一考试数学二试题